理解树结构
树结构通常用来存储逻辑关系为 “一对多” 的数据。


的这些元素具有的就是 “一对多” 的逻辑关系,例如元素 A 同时和 B、C、D 有关系,元素 D 同时和A、H、I、J有关系等。 观察这些元素之间的逻辑关系会发现,它们整体上很像一棵倒着的树(将图 1b) 倒过来),这也是将存储它们的结构起名为“树”(或者 “树形”)的原因。
存储具有 “一对多” 逻辑关系的数据,数据结构推荐使用树存储结构。
与树相关的术语
数据结构中的树,首先是对现实世界中树的一层简化:
抽象后的树结构如下:
把这棵抽象后的树颠倒一下,就得到了计算机中的树结构:
- 树的根节点,叶子节点(不能分叉的节点)
- 树的深度

- 树的度:整个树里(包括根节点在内),节点分叉最多的度!就是树的度!
- 孩子节点、父节点(类似族谱去理解)
- 子树 (族谱,比如儿子的新家庭,那么儿子下面就构成了一个新的子树)

理解二叉树结构
二叉树,就是度不超过2的树!
它可以没有根结点,作为一棵空树存在
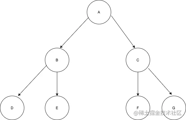
如果它不是空树,那么必须由根结点、左子树和右子树组成,且左右子树都是二叉树。如下图:

注意,二叉树不能被简单定义为每个结点的度都是2的树。普通的树并不会区分左子树和右子树,但在二叉树中,左右子树的位置是严格约定、不能交换的。对应到图上来看,也就意味着 B 和 C、D 和 E、F 和 G 是不能互换的。(按照顺序从左到右!)
满二叉树
一个树,如果每一层的节点数都达到最大值2,则这个二叉树为满二叉树!
完全二叉树
叶结点只能出现在最下层和次下层,并且最下面一层的节点,都集中在该层最左边的若干位置的二叉树!

二叉树的存储方式!
二叉树的存储方式分为两种
一个是顺序存储
顺序存储:数组方式存储,表现上是一个一维数组,逻辑上是一颗二叉树

- 圆圈顶部的数字对应了数组中的索引
- 圆圈内部的值对应的数数组元素的值
规律思考:
- 父节点
i(这个i指的是顺序存储的索引)和左孩子节点的编号下标有什么关系?
0-11-32-5存在 2i+1 的数学规律! - 父节点
i和右孩子节点的编号下标有什么关系?
那么知道了父节点和左孩子节点的规律,那么右孩子其实就是多一个位置 那么就是2i+2 - 通过子节点的索引i找到父节点的规律?
1,2-03,4-15,6-2如果子节点-1然后整除(除完取整)比如(1-1/2 = 0;2-1/2 = 0.x0.x取整也为0)所以父节点就是在数组中索引为0的,其他的也是一样的!
另一个是链表存储(这个我还没有学)
链表存储:采用链表的方式进行存储,链表包含逻辑关系,左指针,右指针。从表现到逻辑都是一颗二叉树。
评论区